|
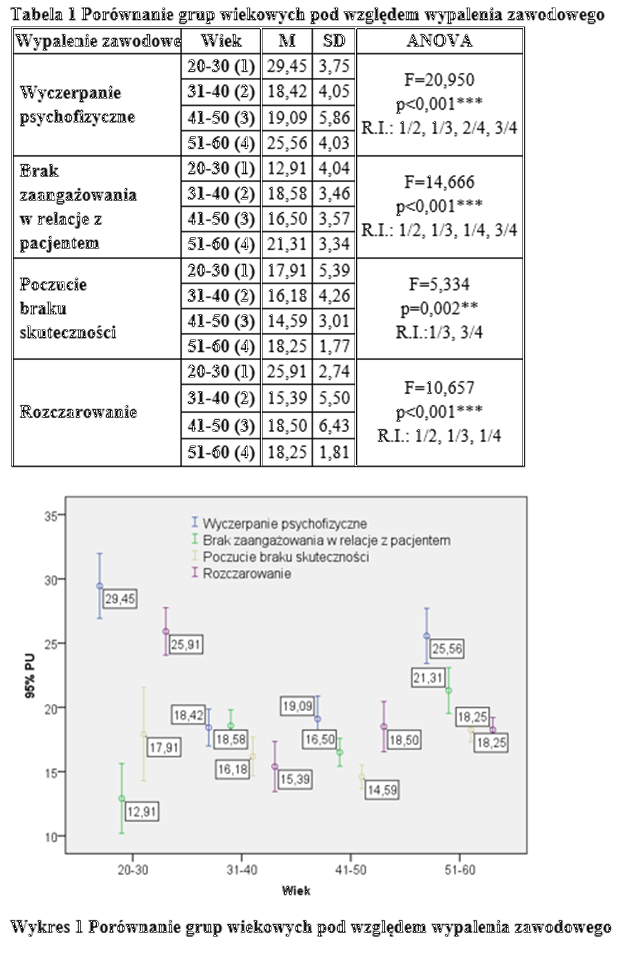
Stwierdzono istotny statystycznie związek między wiekiem, a wypaleniem zawodowym. Istotnie wyższy poziom wypalenia zawodowego w wymiarze wyczerpania psychofizycznego odnotowano wśród respondentek mających od 20 do 30 lat i od 51 do 60 lat, niż wśród respondentek mających od 31 do 40 lat i od 41 do 50 lat. Istotnie niszy poziom wypalenia zawodowego w wymiarze braku zaangażowania w relacje z pacjentem odnotowano wśród respondentek mających od 20 do 30 lat, niż wśród pozostałych, a także wśród mających od 41 do 50 lat, niż wśród mających od 51 do 60 lat. Istotnie niszy poziom wypalenia zawodowego w wymiarze poczucia braku skuteczności odnotowano wśród respondentek mających od 41 do 50 lat, niż wśród respondentek mających od 20 do 30 lat i od 51 do 60 lat. Istotnie wyższy poziom wypalenia zawodowego w wymiarze rozczarowania odnotowano wśród respondentek mających od 20 do 30 lat, niż wśród pozostałych badanych. |

